
Leveraging Machine Learning to Enable Precision Coronary Artery Disease Patient Care

Leveraging Machine Learning to Enable Precision Coronary Artery Disease Patient Care
Coronary artery disease (CAD) is the leading cause of death globally. Although clinical practice guidelines for coronary revascularization exist, deciding among medical therapy alone, percutaneous coronary intervention (PCI), and coronary artery bypass graft (CABG) surgery remains challenging due to individual patients’ unique characteristics. The Alberta Provincial Project for Outcome Assessment in Coronary Heart disease (APPROACH) Registry is a comprehensive, real-world clinical data repository containing prospectively collected data on all patients with CAD who have undergone invasive coronary angiography in the Province of Alberta since 1995. The application of machine learning to the high quality clinical data from APPROACH offers enormous potential to develop a clinically meaningful artificial intelligence decision support tool to inform revascularization decisions. Successfully moving such a tool to real-world clinical practice requires a multi-disciplinary team approach involving not just health data science and machine learning but also implementation science, human factors, patient experience, cardiology, and cardiac surgery.
Related Publications

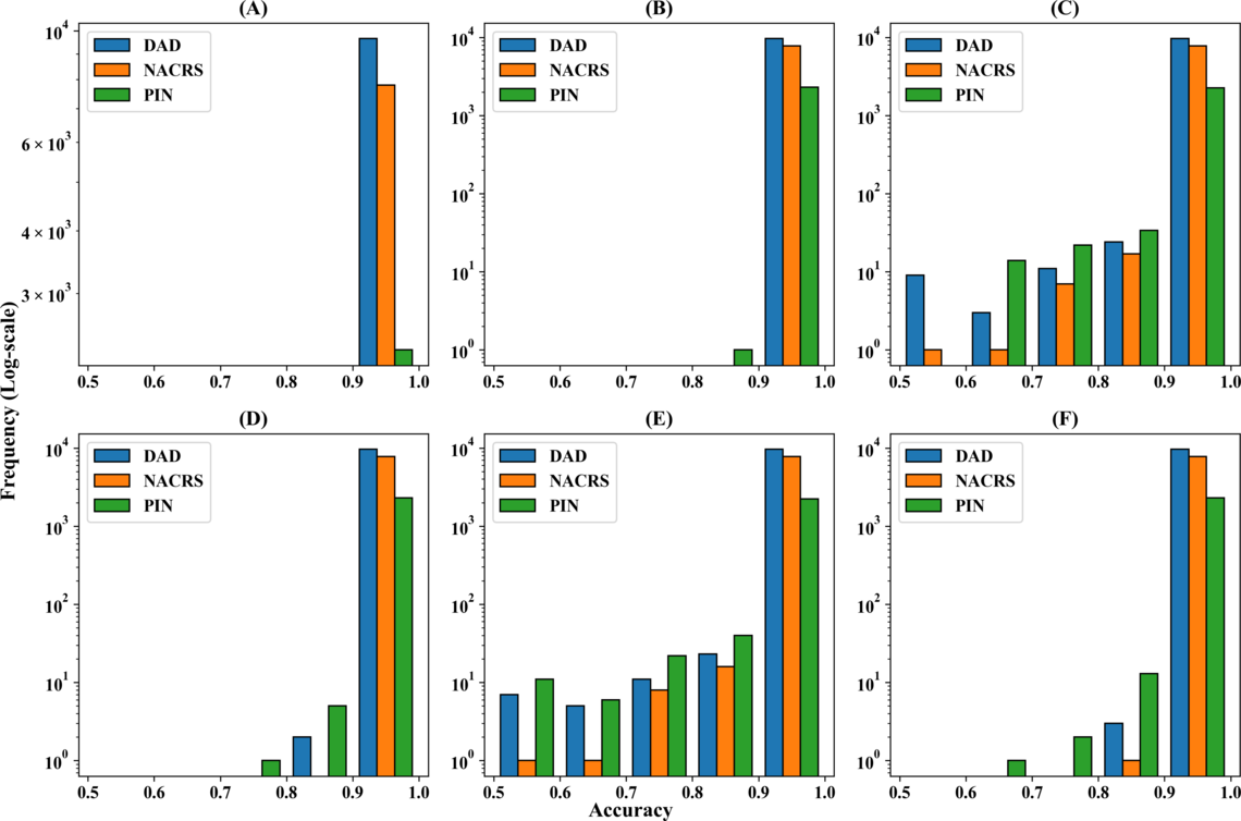
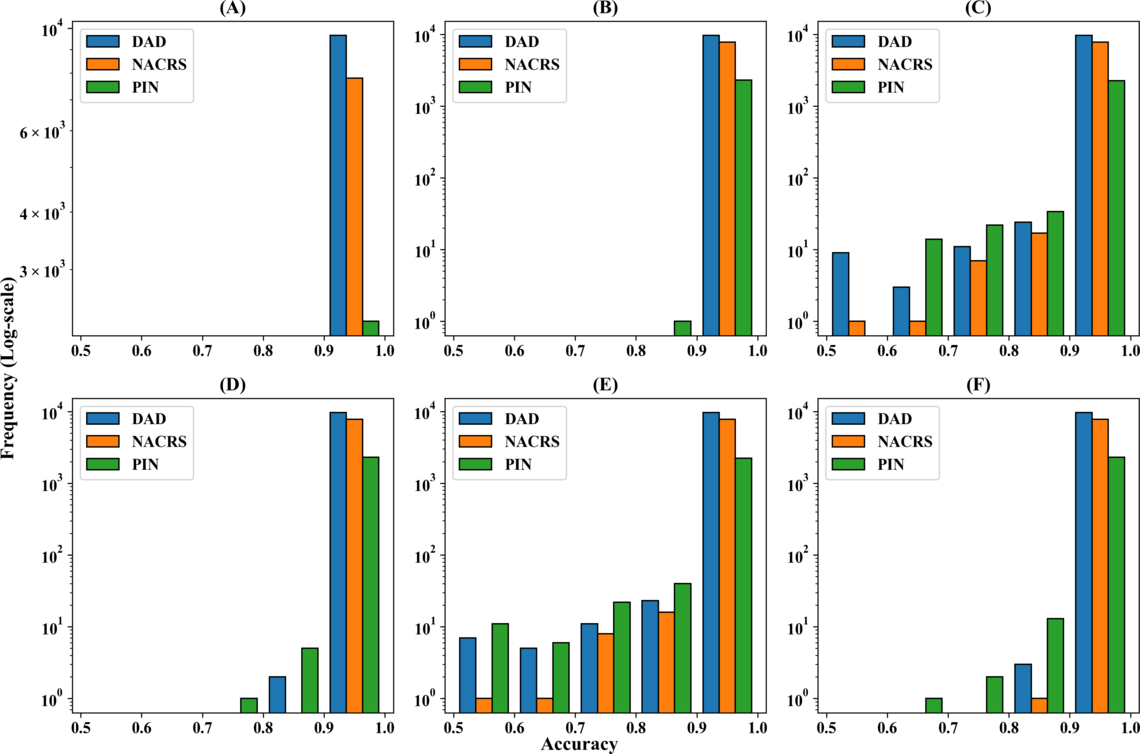
P. Ghasemi, M. Greenberg, D. A. Southern, B. Li, J. A. White, and J. Lee. Personalized decision making for coronary artery disease treatment using offline reinforcement learning. npj Digital Medicine, 8:99, February 2025. [GitHub]

P. Ghasemi and J. Lee. Unsupervised feature selection to identify important ICD-10 and ATC codes for machine learning on a cohort of patients with coronary heart disease: retrospective study. JMIR Medical Informatics, 12:e52896, July 2024. [GitHub]

B. Bajgain, D. Lorenzetti, J. Lee, and K. Sauro. Determinants of implementing artificial intelligence-based clinical decision support tools in healthcare: a scoping review protocol. BMJ Open, 13:e068373, February 2023.

S. Lee, B. Li, E. A. Martin, A. D'Souza, J. Jiang, C. Doktorchik, D. A. Southern, J. Lee, N. Wiebe, H. Quan, and C. Eastwood. CREATE: a new data resource to support cardiac precision health. CJC Open, December 2020.
Funded By



