
Development of Novel Case-specific Machine Learning Methodologies

Development of Novel Case-specific Machine Learning Methodologies
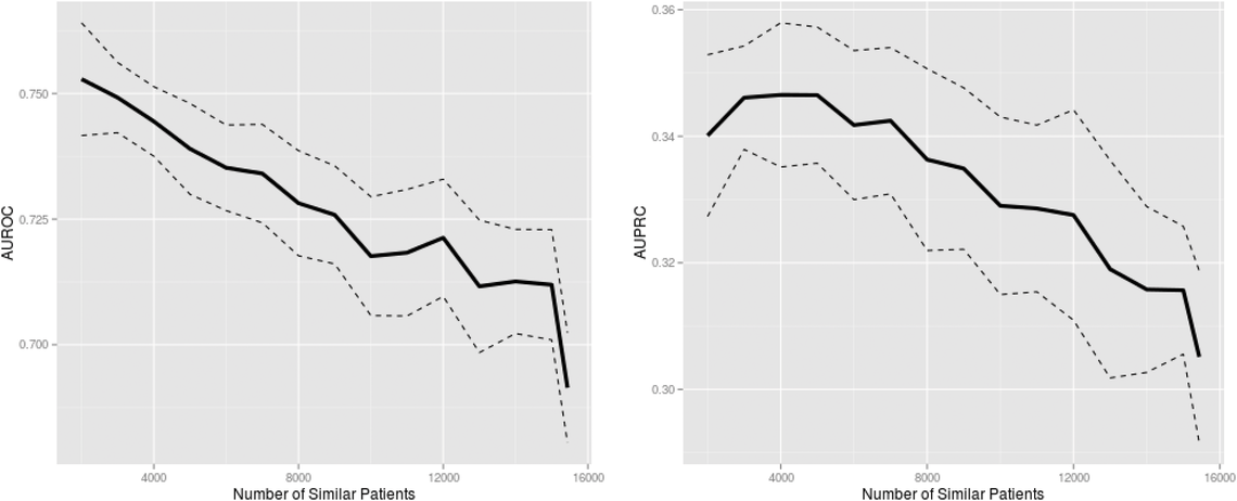
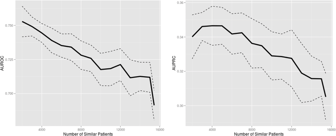
Traditional machine learning tends to treat individual cases in a data set equally in terms of training or evaluation. This can be suboptimal because many problem domains present data sets that exhibit a great amount of heterogeneity or include cases with varying degrees of difficulty. Hence, we aim to improve various aspects of machine learning via novel case-specific methodologies that characterize and utilize unique individual cases. We have developed methodologies to identify and only use similar cases as training data to enable personalized predictive modeling. We are also applying various techniques including item response theory from psychometrics to quantify predictive difficulty and improve model evaluation.
Related Publications

H. Kwon, M. Greenberg, C. B. Josephson, and J. Lee. Measuring the prediction difficulty of individual cases in a dataset using machine learning. Scientific Reports, 14:10474, May 2024. [GitHub]

A. Kline, T. Kline, Z. Shakeri Hossein Abad, and J. Lee. Using item response theory for explainable machine learning in predicting mortality in the intensive care unit: case-based approach. Journal of Medical Internet Research, 22(9):e20268, September 2020.

A. Kline, T. Kline, and J. Lee. Item response theory as a feature selection and interpretation tool in the context of machine learning. Medical & Biological Engineering & Computing, 59:471-482, February 2021.

A. Kline, T. Kline, Z. Shakeri Hossein Abad, and J. Lee. Novel feature selection for artificial intelligence using item response theory for mortality prediction. The 2020 Annual International Conference of the IEEE Engineering in Medicine and Biology Society, 5729-5732, 2020.

Z. Shakeri Hossein Abad, A. Kline, and J. Lee. Evaluation of machine learning-based patient outcome prediction using patient-specific difficulty and discrimination indices. The 2020 Annual International Conference of the IEEE Engineering in Medicine and Biology Society, 5446-5449, 2020.

Y. Xu, J. Lee, and J. A. Dubin. Similarity-based random survival forest, arXiv preprint arXiv:1903.01029, March 2019.

J. Lee. Patient-specific predictive modeling using random forests: an observational study for the critically ill. JMIR Medical Informatics, 5(1):e3, January 2017.

J. Lee. Personalized mortality prediction for the critically ill using a patient similarity metric and bagging. Proceedings of the 2016 IEEE-EMBS International Conference on Biomedical and Health Informatics, 332-335, 2016.
J. Lee, D. M. Maslove, and J. A. Dubin. Personalized mortality prediction driven by electronic medical data and a patient similarity metric. PLoS One, 10(5):e0127428, May 2015
Funded By


